衡水金卷先享题摸底卷高三地理最新试卷2024届
衡水金卷先享题摸底卷高三地理最新试卷2024届
高三历次考试关注度都比较高,参考价值较大,为更好地帮助2023-2024学年高三师生有效提升各学科备考复习效率,了解各科考点,小编在下文整理了高三各科试题及答案汇总,供大家对照参考!
粤港澳大湾区地处我国东南沿海,地理位置优越,是我国最早改革开放的地区。环杭州湾大湾区交通区位突出,以上海为中心的道路交通系统全国领先,高校众多。区位熵可以衡量区域要素的空间分布情况,反映产业部门的专业化程度,以及区域在高层次区域中的地位和作用等。区位熵的值越高,说明地区产业集聚水平就越高。一般来说,当区位熵>1时,区域经济具有优势;区位熵<1时,区域经济不具备优势。下图示意两大湾区2003—2016年各城市生产性服务业区位熵年均值。据此完成4~6题。

4.与粤港澳大湾区相比,环杭州湾大湾区生产性服务业的区位优势是
①著名侨乡吸引外资能力较强
②完善的交通通信等基础设施
③发达的科技水平与研发能力
④开放较早积累丰富管理经验
A.①②
B.②③
C.③④
D.②④
5.推测两大湾区生产性服务业集聚水平存在差异的主要原因是
A.核心城市辐射能力不同
B.对外开放政策差异
C.区位条件差异较为显著
D.吸引外资能力差异
6.两大湾区中生产性服务业发展潜力较大的湾区及其原因是
A.粤港澳大湾区 产业集聚度低
B.环杭州湾大湾区 产业集聚度低
C.粤港澳大湾区 产业集聚度高
D.环杭州湾大湾区 产业集聚度高
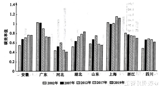
造纸业为典型的能源资源密集型行业,是计划纳入全国碳排放权交易市场的行业之一。下图示意2002—2019年中国部分省区造纸业碳效率值(造纸业碳效率高的表现是:在既定投入要素条件下,拥有较高的造纸业产值以及较低的碳排放)。环境规制指以环境保护为目的而制定实施的各项政策与措施,其对碳效率呈现“U形”影响,即随着环境规制强度的持续增强,其对碳排放效率的影响由“倒退影响”转变为“倒逼影
响”。据此完成7~9题。

衡水金卷先享题摸底卷高三地理最新试卷2024届
